 |
Corel FORUM
Forum użytkowników programów firmy Corel. Grafika wektorowa, rastrowa i obróbka zdjęć cyfrowych
|
|
Problem z kolorami |
| Autor |
Wiadomość |
eMeS
Początkujący

Wiek: 39 Dołączył: 15 Kwi 2011 Posty: 6 Skąd: Wrocław
|
Wysłany: 15 Kwiecień 2011, 21:03 Problem z kolorami
|
|
|
Witam,
Przeszukałem forum ale mam wrażenie że nie było tego typu zapytania. Korzystam z Corela x4 do celów edukacyjnych, w zakresie raczej podstawowym więc kwestia kolorów wykracza poza moje umiejętności. Problem jest następujący - przy importowaniu grafiki w formacie emf (albo przy eksportowaniu jej po obróbce do .pdf) zmianie uległa paleta barw w Corelu, tym samym zamieniając mi wszystkie uprzednio zastosowane barwy. Czy ktoś wie jak to cofnąć do sytuacji wcześniejszej? Korzystałem z "fabrycznej" palety, teraz kolory są jakieś strasznie cukierkowe.
dzięki, |
|
|
|
 |
chezare


Pomógł: 402 razy Dołączył: 24 Gru 2010 Posty: 4551 Skąd: Grodzisk Mazowiecki
|
Wysłany: 15 Kwiecień 2011, 22:19
|
|
|
To kwestia zarządzania kolorami w Corelu.
 |
|
|
|
 |
eMeS
Początkujący

Wiek: 39 Dołączył: 15 Kwi 2011 Posty: 6 Skąd: Wrocław
|
Wysłany: 15 Kwiecień 2011, 22:45
|
|
|
| Dzięki za pomoc, nic to nie dało niestety, będe wdzięczny za dalsze rady. |
|
|
|
 |
chezare


Pomógł: 402 razy Dołączył: 24 Gru 2010 Posty: 4551 Skąd: Grodzisk Mazowiecki
|
Wysłany: 15 Kwiecień 2011, 23:01
|
|
|
Nieprecyzyjnie opisałeś problem. Zmieniły się kolory grafiki, czy zmieniła ci się paleta kolorów w programie? To dwie różne rzeczy. Jeśli zmieniły się kolory grafiki, to skąd wiesz czy poprawnie wyświetla je Corel czy coś innego czego używałeś do jej oglądania?
Najlepiej gdybyś udostępnił oryginał i jego zmodyfikowaną wersję z "niewłaściwymi" kolorami.
Z całą pewnością jeśli masz włączony jakiś profil kolorów w Corelu, to w pdf wyświetlonym Acrobatem kolory będą wyglądały inaczej, bo ten program jak i cała masa innych przeglądarek grafiki, profili kolorów nie obsługuje. Po przeprowadzeniu paru małych eksperymentów wygląda mi na to, że do emf bez zmiany kolorów można zapisać tylko obrazek z paletą RGB.
Nic się nie dzieje z kolorami jak zaimportujesz do CorelDraw emf przy wyłączonym zarządzaniu kolorami. Modyfikując obrazek musisz używać kolorów z palety RGB.
Jeśli zmodyfikowany obrazek wyeksportujesz do emf i z powrotem importujesz do Corela, nic się nie stanie z kolorami. |
| Ostatnio zmieniony przez chezare 15 Kwiecień 2011, 23:29, w całości zmieniany 2 razy |
|
|
|
 |
eMeS
Początkujący

Wiek: 39 Dołączył: 15 Kwi 2011 Posty: 6 Skąd: Wrocław
|
Wysłany: 15 Kwiecień 2011, 23:16
|
|
|
Racja, prosze:
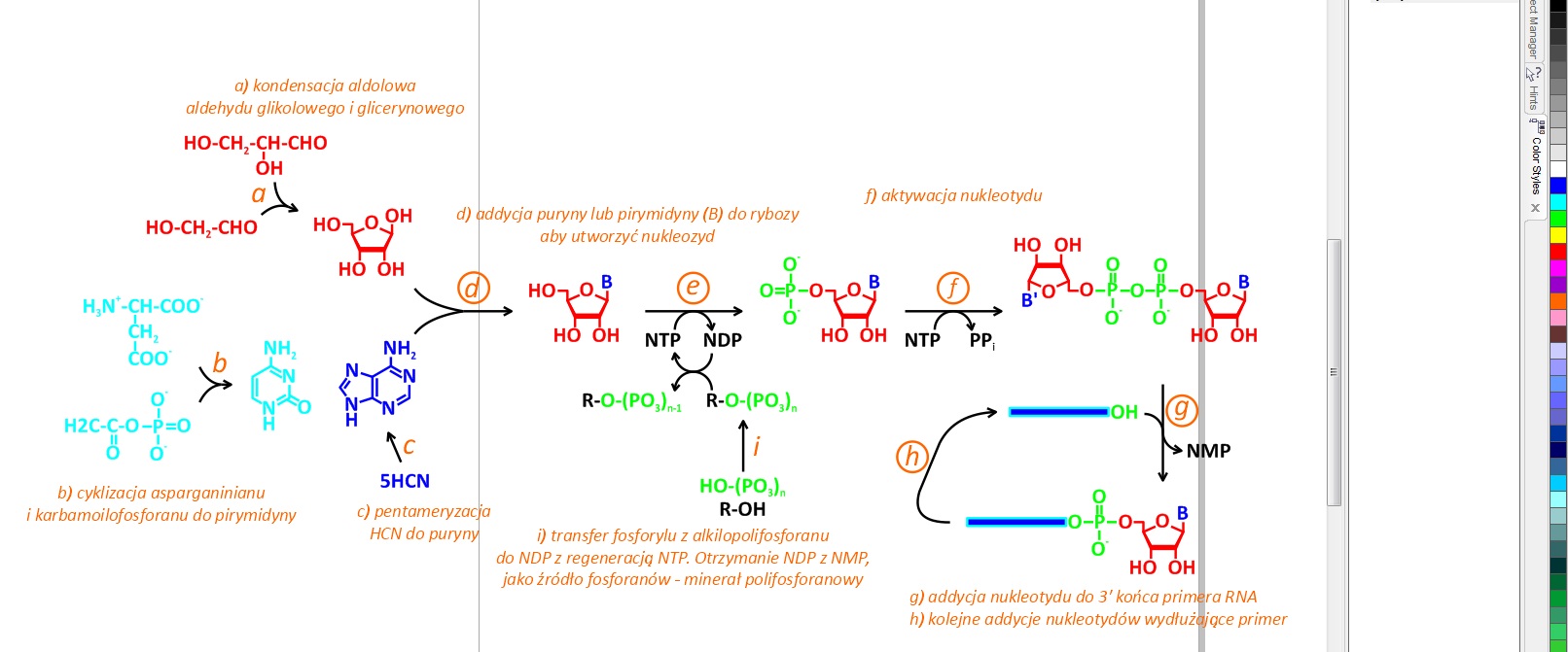
Ten .jpg w którym jest fragment palety po prawej to ten "zły", wcześniej wyglądało jak w tym drugim, kolory na palecie były jak te zastosowane na rysunkach.
rybozym kataliza zly.jpg Tak wygląda teraz, wraz z paletą |
Pobierz Plik ściągnięto 481 raz(y) 184.72 KB |
rybozym kataliza horizontal.jpg Tak wyglądał jak było dobrze |
Pobierz Plik ściągnięto 504 raz(y) 690.06 KB |
|
|
|
|
 |
chezare


Pomógł: 402 razy Dołączył: 24 Gru 2010 Posty: 4551 Skąd: Grodzisk Mazowiecki
|
Wysłany: 15 Kwiecień 2011, 23:32
|
|
|
| A masz ten oryginalny emf? |
|
|
|
 |
eMeS
Początkujący

Wiek: 39 Dołączył: 15 Kwi 2011 Posty: 6 Skąd: Wrocław
|
Wysłany: 15 Kwiecień 2011, 23:41
|
|
|
Mam ten .emf, łączę. Trochę namieszałem i nieprecyzyjnje się znowu wyraziłem, ale ten .emf nie związany jest bezpośrednio z grafiką którą dawałem powyżej. Importowałem tego .emf w momencie w którym wszystko było ok z kolorami, coś z nim popracowałem, zrobiłem z niego .pdf i kolory były zamienione po powrocie do CorelDraw. Dałem tamte dwa inne rysunki, bo je oba mam w różnych kolorystycznie wersjach, natomiast .emf nie.
Link do .emf:
http://www.multiupload.com/FPWK84ZXQE |
|
|
|
 |
chezare


Pomógł: 402 razy Dołączył: 24 Gru 2010 Posty: 4551 Skąd: Grodzisk Mazowiecki
|
Wysłany: 16 Kwiecień 2011, 00:24
|
|
|
Coś nie ten plik chyba wysłałeś, bo w tym pod linkiem - D2O pH8 dodatni.emf - jest jakiś histogram, wszystko w czarnym kolorze.
Łatwo da się naprawić to co się pozmieniało ale dobrze by było wypracować jakieś rozwiązanie.
Jestem pewien, że problem leży w zarządzaniu kolorami. Corel tak jak każdy poważny program graficzny umożliwia zarządzanie kolorami. To jest potrzebne do tego żeby można np. na ekranie zobaczyć jak będą wyglądały kolory po wydrukowaniu i przygotować odpowiednio grafikę do drukowania. Różne papiery i maszyny wymagają różnych specyfikacji. To złożone zagadnienie i nie ma co teraz się nad tym rozwodzić.
Z moich eksperymentów wynika, że jak się zaimportuje emf z wyłączonym zarządzaniem kolorami i używa palety RGB, to po eksporcie takiego obrazka do emf i ponownym zaimportowaniu nic się w kolorach nie zmienia.
Jeśli dobrze kombinuję, to chcesz umieścić grafikę w pdfie i żeby wyglądała tak samo jak na ekranie monitora?
Załóżmy, że masz już zmodyfikowany obrazek, w którym wykoleiły się kolory.
Ja zrobiłbym tak:
Wyłączył zarządzanie kolorami. Wyszukał wszystkie elementy, które mają zły kolor. To jest łatwo zrobić, bo Corel jest wyposażony w narzędzia do wyszukiwania elementów o określonych parametrach. Jak byś nie wiedział jak to zrobić, to wytłumaczę.
Następnie zmieniłbym za jednym zamachem zły kolor na właściwy i zapisał grafikę do pdfa z wyłączonymi profilami kolorów i w palecie RGB, czyli takiej jaka jest używana do wyświetlania kolorów na monitorze. Oczywiście ci co to będą oglądać zobaczą trochę inne kolory niż założyłeś, ale będzie to wynikało tylko i wyłącznie z różnic pomiędzy poszczególnymi urządzeniami (monitorami) i różnice nie powinny być drastyczne.
Nie powinno być też większych problemów z drukowaniem takiego pdfa na domowej drukarce. |
|
|
|
 |
eMeS
Początkujący

Wiek: 39 Dołączył: 15 Kwi 2011 Posty: 6 Skąd: Wrocław
|
Wysłany: 16 Kwiecień 2011, 09:35
|
|
|
Dzięki za pomoc dotychczasową. Generalnie to chciałbym żeby barwy z załącznika "rybozym kataliza zly.jpg" wróciły do barw z "rybozym kataliza horizontal.jpg".
Problem jest taki, że nie mogę zamienic kolorów na właściwe, bo w miejsce tych właściwych pojawiły się "wykolejone" na palecie jednocześnie zamieniając kolory na rysunkach.
Sytuacja wygląda tak - mam "złą" paletę i kolory w Corelu, jak eksportuje do .jpg to dalej są złe, natomiast jak zrobie pdfa to wyglądają tak jak powinny. Nigdy wcześniej nie było takiego problemu, pracuję w programie od paru lat.
W międzyczasie znalazło się rozwiązanie, bo chciałem znaleźć przykłady palet żeby tu wkleić - http://coreldraw.com/forums/p/1256/10192.aspx
trzeba było zanaczyć strzałkę z Corela do monitora, wszystko się pozamieniało elegancko.
Dziękuję za pomoc i pozdrawiam. |
|
|
|
 |
|
|
Nie możesz pisać nowych tematów Nie możesz odpowiadać w tematach Nie możesz zmieniać swoich postów Nie możesz usuwać swoich postów Nie możesz głosować w ankietach Nie możesz załączać plików na tym forum Możesz ściągać załączniki na tym forum
|
Dodaj temat do Ulubionych Wersja do druku
|
|
|
|
|
|
|
Nowe zasady dotyczące cookies. Wykorzystujemy pliki cookies, aby nasz serwis lepiej spełniał Państwa oczekiwania. Można zablokować zapisywanie cookies, zmieniając ustawienia przeglądarki.
| | Strona wygenerowana w 0.13 sekundy. Zapytań do SQL: 11 |
|
|